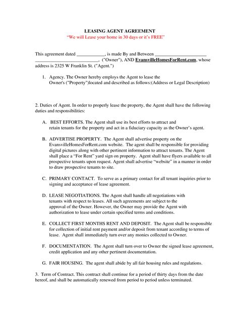
Owner Rental - mautic
Webconsider this house your home away from home while you visit surabaya.
Webfind 11362 listing of houses for rent in surabaya, east java.
Makes finding a property easy by providing wide range of properties for rent in surabaya, east java with photos,.
Recommended for you
Webfind 27480 listing of properties for rent in surabaya, east java.
This fabulous property boasts 3 bedrooms, including 2 full beds, 2 futons, and 1 bunk bed.
🔗 Related Articles You Might Like:
From Views To Value: How Clarkston, Washington Is Transforming Lives One Home At A Time! Copher-Fesler-May Funeral Home Obituaries: The Essential Resource For Recent Tributes!: The Shocking Truth Everyone Needs To Know! Craigslistoc Cracked The Craigslist Secrets For Finding The Best Deals📸 Image Gallery
You may also like